Focus on spectral sensing and optoelectronic application systems
iSpec-BRDF is a specialized spectral measurement system developed by LiSen Optics for the measurement of Bidirectional Reflectance/Transmittance Distribution Functions (BRDF/BTDF) and the study of isotropic optical materials' surface properties. This system finds wide applications in fields such as aerospace remote sensing, geological measurements, precision guidance, target simulation, optical design, AR/VR/MR, and more. It enables quantitative analysis of the surface optical characteristics of various materials, including glass, metals, plastics, paper, textiles, paints, coatings, optical film materials, and others. iSpec-BRDF is a crucial optical testing tool for researching the fundamental physical properties of substances and materials.
iSpec-BRDF is a specialized spectral measurement system developed by LiSen Optics for the measurement of Bidirectional Reflectance/Transmittance Distribution Functions (BRDF/BTDF) and the study of isotropic optical materials' surface properties. This system finds wide applications in fields such as aerospace remote sensing, geological measurements, precision guidance, target simulation, optical design, AR/VR/MR, and more. It enables quantitative analysis of the surface optical characteristics of various materials, including glass, metals, plastics, paper, textiles, paints, coatings, optical film materials, and others. iSpec-BRDF is a crucial optical testing tool for researching the fundamental physical properties of substances and materials.

The measurement platform of the iSpec-BRDF Bidirectional Reflectance/Transmittance Distribution Function Spectral Measurement Instrument is illustrated in the diagram. The entire system comprises an illumination system, a spectral detection system, a measurement mechanical system, and spectral data software processing. During the measurement process, spectral measurement software and measurement mechanical system control software are integrated through interface software. This allows the entire measurement process to be automatically controlled by a computer, making the experimental operation convenient, quick, and time-efficient. The fully automated BRDF spectral data acquisition software collects data in real-time and outputs results.
The LiSen Optics iSpec-BRDF spectral system utilizes a high-precision rotational stage combined with a cantilever beam to perform BRDF measurements. The light source is mounted on the outer cantilever, with a rotation radius of 0.5 meters, enabling a single degree of freedom rotation. It can rotate in the zenith angle direction (0° to 90°) about the cantilever axis. The detector is mounted on the inner cantilever and can rotate in two degrees of freedom: zenith angle direction (0° to 90°) about the cantilever axis and azimuthal direction (0° to 360°) about the central turntable axis. The sample is placed on the central turntable and can rotate in one degree of freedom (0° to 360°) in the illumination azimuth angle. Through control of these four degrees of freedom, which include the illumination and detection zenith angles and the illumination and detection azimuth angles, measurements under all conditions of BRDF are achieved. (Please note that due to mechanical limitations during movement, there may be occlusions between the cantilevers, resulting in invalid data for some angles.)

The measurement platform of the iSpec-BRDF Bidirectional Reflectance/Transmittance Distribution Function Spectral Measurement Instrument is illustrated in the diagram. The entire system comprises an illumination system, a spectral detection system, a measurement mechanical system, and spectral data software processing. During the measurement process, spectral measurement software and measurement mechanical system control software are integrated through interface software. This allows the entire measurement process to be automatically controlled by a computer, making the experimental operation convenient, quick, and time-efficient. The fully automated BRDF spectral data acquisition software collects data in real-time and outputs results.
The LiSen Optics iSpec-BRDF spectral system utilizes a high-precision rotational stage combined with a cantilever beam to perform BRDF measurements. The light source is mounted on the outer cantilever, with a rotation radius of 0.5 meters, enabling a single degree of freedom rotation. It can rotate in the zenith angle direction (0° to 90°) about the cantilever axis. The detector is mounted on the inner cantilever and can rotate in two degrees of freedom: zenith angle direction (0° to 90°) about the cantilever axis and azimuthal direction (0° to 360°) about the central turntable axis. The sample is placed on the central turntable and can rotate in one degree of freedom (0° to 360°) in the illumination azimuth angle. Through control of these four degrees of freedom, which include the illumination and detection zenith angles and the illumination and detection azimuth angles, measurements under all conditions of BRDF are achieved. (Please note that due to mechanical limitations during movement, there may be occlusions between the cantilevers, resulting in invalid data for some angles.)
Measurement Principle
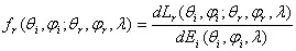
The Bidirectional Reflectance Distribution Function represents the reflectance characteristics of an object's surface under different incidence angles at any observation angle, as shown in Figure 1. The bidirectional reflectance distribution function is the ratio of light radiation's reflective luminance to the incident irradiance. Its mathematical expression is:

![]() |
![]() |
|
Figure 1: Light Reflection Geometry Diagram |
Figure 2: Light Transmission Geometry Diagram |
θi,φi are the incidence angles and azimuthal angles of the incident light, respectively. θr,φr are are the reflectance angles and azimuthal angles of the reflected light, respectively. Lr is the luminance of the light reflected in direction (θr,φr) after irradiating the differential element, with a unit of W/㎡·sr·μm, Ei, is the irradiance produced by incident light in the direction(θi, φi)on the surface, with a unit of W/㎡·μm.Thus, the unit of BRDF is sr-1。The physical significance of BRDF is the ratio of the luminance emitted in the(θr,φr )direction to the irradiance produced by incident light from direction(θi, φi) on the measured surface. The bidirectional reflectance distribution function is a function of incident angle(θi, φi)、reflection angle(θr,φr )、and wavelength λ ’s Function.
Measurement Principle
The Bidirectional Reflectance Distribution Function represents the reflectance characteristics of an object's surface under different incidence angles at any observation angle, as shown in Figure 1. The bidirectional reflectance distribution function is the ratio of light radiation's reflective luminance to the incident irradiance. Its mathematical expression is:

![]() |
![]() |
|
Figure 1: Light Reflection Geometry Diagram |
Figure 2: Light Transmission Geometry Diagram |
θi,φi are the incidence angles and azimuthal angles of the incident light, respectively. θr,φr are are the reflectance angles and azimuthal angles of the reflected light, respectively. Lr is the luminance of the light reflected in direction (θr,φr) after irradiating the differential element, with a unit of W/㎡·sr·μm, Ei, is the irradiance produced by incident light in the direction(θi, φi)on the surface, with a unit of W/㎡·μm.Thus, the unit of BRDF is sr-1。The physical significance of BRDF is the ratio of the luminance emitted in the(θr,φr )direction to the irradiance produced by incident light from direction(θi, φi) on the measured surface. The bidirectional reflectance distribution function is a function of incident angle(θi, φi)、reflection angle(θr,φr )、and wavelength λ ’s Function.
Bidirectional Transmittance Distribution Function (BTDF)
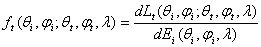
The Bidirectional Transmittance Distribution Function represents the transmittance characteristics of an object's surface under different incidence angles at any observation angle, as shown in Figure 2. The bidirectional transmittance distribution function is the ratio of light radiation's transmitted luminance to the incident irradiance. Its mathematical expression is:


Bidirectional Transmittance Distribution Function (BTDF)
The Bidirectional Transmittance Distribution Function represents the transmittance characteristics of an object's surface under different incidence angles at any observation angle, as shown in Figure 2. The bidirectional transmittance distribution function is the ratio of light radiation's transmitted luminance to the incident irradiance. Its mathematical expression is:


Main Technical Features
● The entire system employs a four-axis concentric design, with a simple and stable structure. The rotational stage has a high angular resolution of 0.05° and a high positioning accuracy of 0.10°.
● The entire system is treated with low reflectance matte black, reducing the impact of stray reflections.
● The spectrometer can be configured with different grades (cooling or non-cooling options) and covers a spectral range of 380-1100nm/380-1700nm/380-2500nm.
● The light source can be chosen from a 150W high-power halogen lamp or a super-continuous laser white light source.
● Laser marking indicates the sample's test surface, ensuring coaxial alignment.
● BRDF four degrees of freedom are automatically set and controlled by software across the full range of angles.
● The BRDF fully automated spectral measurement software can be customized based on customer requirements for measurement schemes.





Technical Indicators
|
Model |
iSpec-BRDF-HS400/iSpec-BRDF-UVIR-1.7TEC/iSpec-BRDF-UVIR-2.5TEC |
|
|
Measurement Spectral Parameters |
Spectral Range |
iSpec-BRDF-HS400:380~1100nm |
|
iSpec-BRDF-UVIR-1.7TEC:380~1700nm |
||
|
iSpec-BRDF-UVIR-2.5TEC:380~2500nm |
||
|
Spectral Resolution |
Visible light channel: 1nm |
|
|
Near-infrared channel: 10nm |
||
|
Illumination Source Adjustment |
Illumination Range |
Automatically adjustable: Zenith angle (θ) = [0°, 90°], Azimuth angle (φ) = [0°, 360°] |
|
Angular Resolution |
±0.05° |
|
|
Positioning Accuracy |
±0.10° |
|
|
Illumination Source |
Spectral Range of Light Source |
350~2500nm/200-2500nm |
|
Spectral Resolution |
Wide spectral output, configurable with filters |
|
|
Illumination Source |
150W Halogen Lamp/Halogen Plasma White Light Source |
|
|
Size of the illuminated area on the object |
20mm diameter (vertical incidence), elliptical for oblique incidence |
|
|
Reflection Observation Adjustment |
Observation Range: Automatically adjustable |
Zenith angle (θ) = [-90°, 90°], Azimuth angle (φ) = [0°, 180°]; |
|
Zenith angle (θ) = [0°, 90°], Azimuth angle (φ) = [0°, 360°] |
||
|
Angular Resolution |
±0.05° |
|
|
Positioning Accuracy |
±0.1° |
|
|
Occlusion Angle |
±5°(when illumination zenith angle is the same as observation zenith angle) |
|
|
Transmittance Observation Adjustment (optional) |
Observation Range |
Automatically adjustable: Zenith angle (θ) = [30°, 90°], Azimuth angle (φ) = [0°, 360°] |
|
Angular Resolution |
±0.05° |
|
|
Positioning Accuracy |
±0.1° |
|
|
Spectrometer |
Spectral Range |
350~1100nm /350~1700nm /350~2500nm |
|
Detector |
2048-pixel BT-CCD/256-pixel InGaAs |
|
|
Detector Cooling |
Non-cooling/Thermoelectric cooling (optional) |
|
|
Integration Exposure Time |
1ms-60s |
|
|
Spectral Wavelength Resolution |
1nm@350~1100nm |
|
|
1.5nm@1000~1700nm |
||
|
3nm@1000~2500nm |
||
|
Five-Dimensional Sample Support Platform |
Sample XYZαβ bracket, maximum clamping size of 200mm |
|
|
Angle adjustment: 360° coarse adjustment, ±5° fine adjustment |
||
|
XY Range: 0-6.5mm, Z Range: 0-10mm |
||
|
Travel accuracy: 0.02mm-0.04mm |
||
|
Standard Panel |
Diffuse reflectance standard Panel: Diameter 100mm, Reflectance: ≥98% (standard) |
|
|
Specular reflectance standard Panel: ≥75mm, Reflectance: ≥95% (optional) |
||
|
LiSpecView-BRDF Software Features |
Software functions include motion platform parameter settings, spectrometer acquisition control, automatic BRDF data measurement based on preset conditions, data acquisition and storage, real-time display of sample photos, 2D spectral display, 3D light intensity distribution. |
|
|
The software allows for active control of the robotic arm's zero setting, disabling automatic zero setting of the robotic arm, customizing the detection zenith angle range (0°90° or -90°90°), and loading previously saved standard reference data. |
||
Technical Indicators
|
Name |
Quantity |
|
Five-Dimensional Motion Bracket |
1 set |
|
Five-Dimensional Motion Bracket Controller |
1 unit |
|
Spectrometer |
1 unit |
|
150W Halogen Lamp Light Source |
1 unit |
|
Diffuse Reflectance Standard Plate |
1 piece |
|
Digital Height Gauge |
1 unit |
|
Fiber Optic Cable |
1 piece |
|
Collimating Lens |
2 pieces |
|
Industrial Camera |
1 unit |
|
USB Data Cable |
1 piece |
|
Motor Control Cable |
4 pieces |
|
Standard Reference White Plate Support |
1 piece |
|
Five-Dimensional Sample Bracket |
1 piece |
|
Power Cables |
2 pieces |
|
Laser Line Angle Measuring Instrument |
1 unit |
|
Dark Box |
1 piece |
|
Notebook Computer |
1 unit |
|
Supporting Software |
1 unit |
Main Technical Features
● The entire system employs a four-axis concentric design, with a simple and stable structure. The rotational stage has a high angular resolution of 0.05° and a high positioning accuracy of 0.10°.
● The entire system is treated with low reflectance matte black, reducing the impact of stray reflections.
● The spectrometer can be configured with different grades (cooling or non-cooling options) and covers a spectral range of 380-1100nm/380-1700nm/380-2500nm.
● The light source can be chosen from a 150W high-power halogen lamp or a super-continuous laser white light source.
● Laser marking indicates the sample's test surface, ensuring coaxial alignment.
● BRDF four degrees of freedom are automatically set and controlled by software across the full range of angles.
● The BRDF fully automated spectral measurement software can be customized based on customer requirements for measurement schemes.





Technical Indicators
|
Model |
iSpec-BRDF-HS400/iSpec-BRDF-UVIR-1.7TEC/iSpec-BRDF-UVIR-2.5TEC |
|
|
Measurement Spectral Parameters |
Spectral Range |
iSpec-BRDF-HS400:380~1100nm |
|
iSpec-BRDF-UVIR-1.7TEC:380~1700nm |
||
|
iSpec-BRDF-UVIR-2.5TEC:380~2500nm |
||
|
Spectral Resolution |
Visible light channel: 1nm |
|
|
Near-infrared channel: 10nm |
||
|
Illumination Source Adjustment |
Illumination Range |
Automatically adjustable: Zenith angle (θ) = [0°, 90°], Azimuth angle (φ) = [0°, 360°] |
|
Angular Resolution |
±0.05° |
|
|
Positioning Accuracy |
±0.10° |
|
|
Illumination Source |
Spectral Range of Light Source |
350~2500nm/200-2500nm |
|
Spectral Resolution |
Wide spectral output, configurable with filters |
|
|
Illumination Source |
150W Halogen Lamp/Halogen Plasma White Light Source |
|
|
Size of the illuminated area on the object |
20mm diameter (vertical incidence), elliptical for oblique incidence |
|
|
Reflection Observation Adjustment |
Observation Range: Automatically adjustable |
Zenith angle (θ) = [-90°, 90°], Azimuth angle (φ) = [0°, 180°]; |
|
Zenith angle (θ) = [0°, 90°], Azimuth angle (φ) = [0°, 360°] |
||
|
Angular Resolution |
±0.05° |
|
|
Positioning Accuracy |
±0.1° |
|
|
Occlusion Angle |
±5°(when illumination zenith angle is the same as observation zenith angle) |
|
|
Transmittance Observation Adjustment (optional) |
Observation Range |
Automatically adjustable: Zenith angle (θ) = [30°, 90°], Azimuth angle (φ) = [0°, 360°] |
|
Angular Resolution |
±0.05° |
|
|
Positioning Accuracy |
±0.1° |
|
|
Spectrometer |
Spectral Range |
350~1100nm /350~1700nm /350~2500nm |
|
Detector |
2048-pixel BT-CCD/256-pixel InGaAs |
|
|
Detector Cooling |
Non-cooling/Thermoelectric cooling (optional) |
|
|
Integration Exposure Time |
1ms-60s |
|
|
Spectral Wavelength Resolution |
1nm@350~1100nm |
|
|
1.5nm@1000~1700nm |
||
|
3nm@1000~2500nm |
||
|
Five-Dimensional Sample Support Platform |
Sample XYZαβ bracket, maximum clamping size of 200mm |
|
|
Angle adjustment: 360° coarse adjustment, ±5° fine adjustment |
||
|
XY Range: 0-6.5mm, Z Range: 0-10mm |
||
|
Travel accuracy: 0.02mm-0.04mm |
||
|
Standard Panel |
Diffuse reflectance standard Panel: Diameter 100mm, Reflectance: ≥98% (standard) |
|
|
Specular reflectance standard Panel: ≥75mm, Reflectance: ≥95% (optional) |
||
|
LiSpecView-BRDF Software Features |
Software functions include motion platform parameter settings, spectrometer acquisition control, automatic BRDF data measurement based on preset conditions, data acquisition and storage, real-time display of sample photos, 2D spectral display, 3D light intensity distribution. |
|
|
The software allows for active control of the robotic arm's zero setting, disabling automatic zero setting of the robotic arm, customizing the detection zenith angle range (0°90° or -90°90°), and loading previously saved standard reference data. |
||
Technical Indicators
|
Name |
Quantity |
|
Five-Dimensional Motion Bracket |
1 set |
|
Five-Dimensional Motion Bracket Controller |
1 unit |
|
Spectrometer |
1 unit |
|
150W Halogen Lamp Light Source |
1 unit |
|
Diffuse Reflectance Standard Plate |
1 piece |
|
Digital Height Gauge |
1 unit |
|
Fiber Optic Cable |
1 piece |
|
Collimating Lens |
2 pieces |
|
Industrial Camera |
1 unit |
|
USB Data Cable |
1 piece |
|
Motor Control Cable |
4 pieces |
|
Standard Reference White Plate Support |
1 piece |
|
Five-Dimensional Sample Bracket |
1 piece |
|
Power Cables |
2 pieces |
|
Laser Line Angle Measuring Instrument |
1 unit |
|
Dark Box |
1 piece |
|
Notebook Computer |
1 unit |
|
Supporting Software |
1 unit |